User Tools


projects:3dcats:wp_200:clear_comp_o2a.png

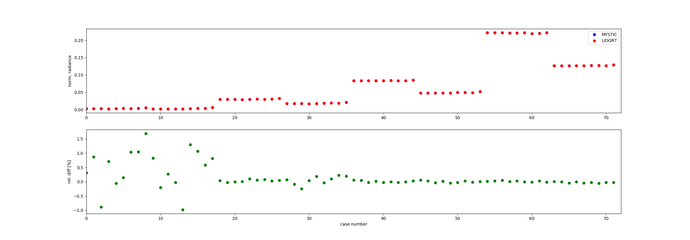
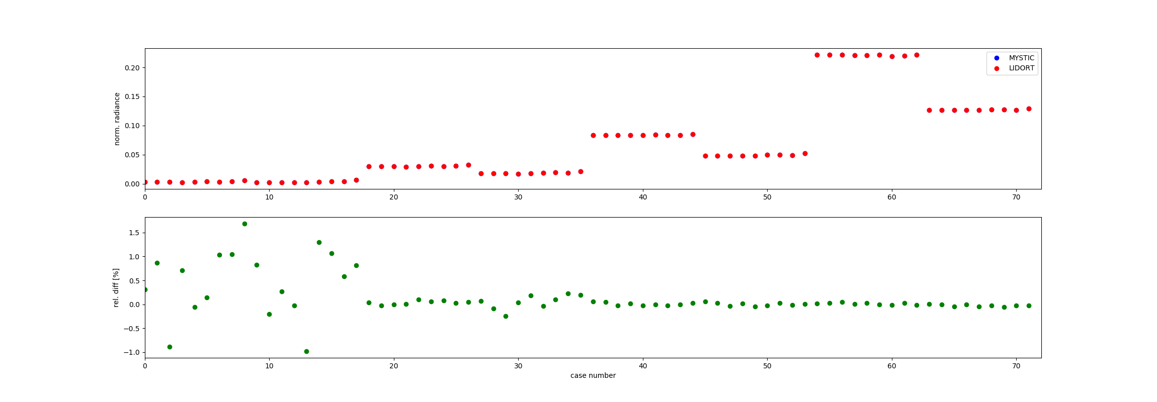
clear_comp_o2a.png

clear_comp_o2a.png
Date:
2019/08/27 14:19
Filename:
clear_comp_o2a.png
Format:
PNG
Size:
41KB
Width:
2300
Height:
800
References for:
wp200_intercomp_clear

This list might not be complete due to ACL restrictions and hidden pages.